Задания
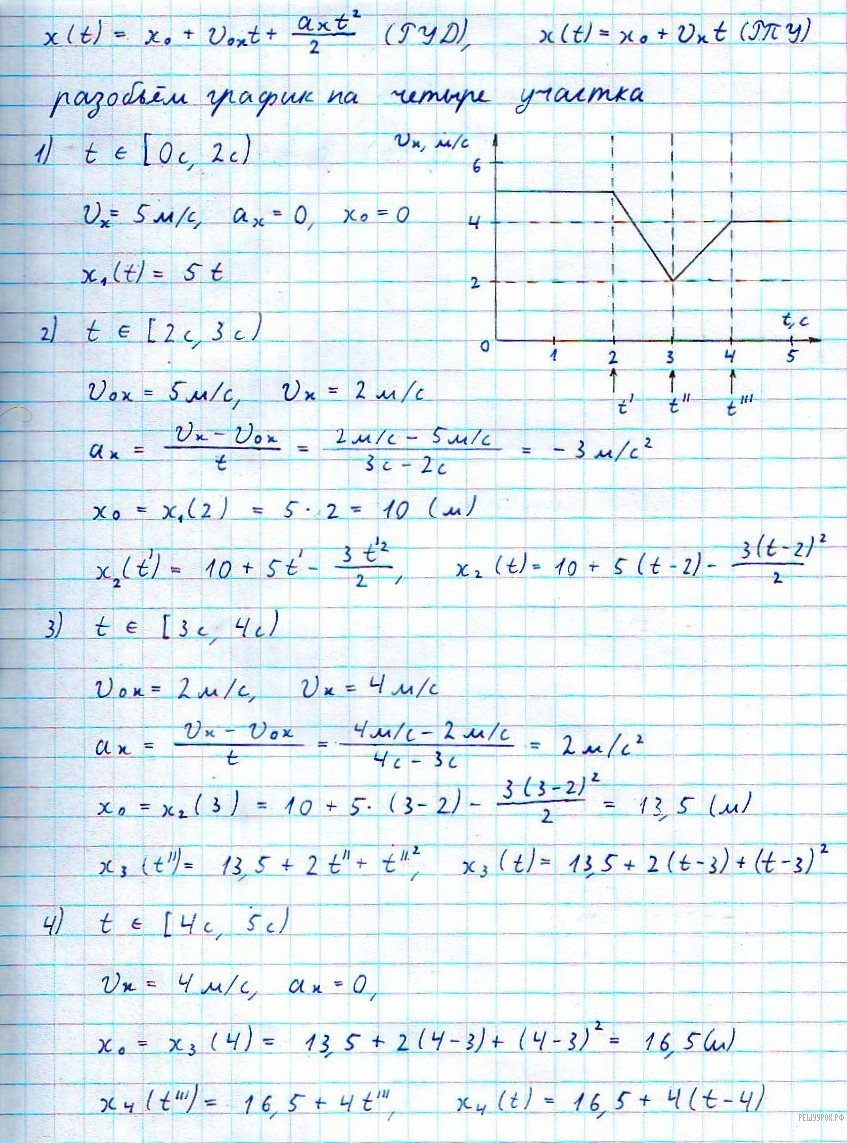
Версия для печати и копирования в MS WordПо данному графику проекции скорости построить графики для координаты и проекции ускорения.
Решение.
Источник: Кирик Л. А. Самостоятельные и контрольные работы для 9 класса, М.: «Илекса», 2010 (№ 1 (дост.) стр. 29)

