Задания
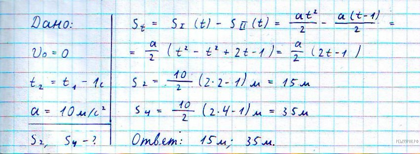
Версия для печати и копирования в MS WordС вертолета сбросили без начальной скорости два груза, причем второй на 1 с позже первого. Определить расстояние между грузами через 2 с и через 4 с после начала движения первого груза.
Решение.
Ответ: 15 м; 35 м.
Источник: Кирик Л. А. Самостоятельные и контрольные работы для 9 класса, Х.: «Гимназия», 2002 (№ 1 (высок.) стр. 35)

